BewG Bewertungsgesetz
BewG
Bewertungsgesetz
Öffentliches RechtVerwaltungsrechtBesonderes Verwaltungsrecht
Steuerrecht & Steuerverfahrensrecht
| Restnut- zungsdauer; Restlaufzeit des Erbbaurechts bzw. des Nut- zungsrechts (in Jahren) | Zinssatz | ||||||||
| 1,0 % | 1,5 % | 2,0 % | 2,5 % | 3,0 % | 3,5 % | 4,0 % | 4,5 % | 5,0 % | |
| 1 | 0,9901 | 0,9852 | 0,9804 | 0,9756 | 0,9709 | 0,9662 | 0,9615 | 0,9569 | 0,9524 |
| 2 | 1,9704 | 1,9559 | 1,9416 | 1,9274 | 1,9135 | 1,8997 | 1,8861 | 1,8727 | 1,8594 |
| 3 | 2,9410 | 2,9122 | 2,8839 | 2,8560 | 2,8286 | 2,8016 | 2,7751 | 2,7490 | 2,7232 |
| 4 | 3,9020 | 3,8544 | 3,8077 | 3,7620 | 3,7171 | 3,6731 | 3,6299 | 3,5875 | 3,5460 |
| 5 | 4,8534 | 4,7826 | 4,7135 | 4,6458 | 4,5797 | 4,5151 | 4,4518 | 4,3900 | 4,3295 |
| 6 | 5,7955 | 5,6972 | 5,6014 | 5,5081 | 5,4172 | 5,3286 | 5,2421 | 5,1579 | 5,0757 |
| 7 | 6,7282 | 6,5982 | 6,4720 | 6,3494 | 6,2303 | 6,1145 | 6,0021 | 5,8927 | 5,7864 |
| 8 | 7,6517 | 7,4859 | 7,3255 | 7,1701 | 7,0197 | 6,8740 | 6,7327 | 6,5959 | 6,4632 |
| 9 | 8,5660 | 8,3605 | 8,1622 | 7,9709 | 7,7861 | 7,6077 | 7,4353 | 7,2688 | 7,1078 |
| 10 | 9,4713 | 9,2222 | 8,9826 | 8,7521 | 8,5302 | 8,3166 | 8,1109 | 7,9127 | 7,7217 |
| 11 | 10,3676 | 10,0711 | 9,7868 | 9,5142 | 9,2526 | 9,0016 | 8,7605 | 8,5289 | 8,3064 |
| 12 | 11,2551 | 10,9075 | 10,5753 | 10,2578 | 9,9540 | 9,6633 | 9,3851 | 9,1186 | 8,8633 |
| 13 | 12,1337 | 11,7315 | 11,3484 | 10,9832 | 10,6350 | 10,3027 | 9,9856 | 9,6829 | 9,3936 |
| 14 | 13,0037 | 12,5434 | 12,1062 | 11,6909 | 11,2961 | 10,9205 | 10,5631 | 10,2228 | 9,8986 |
| 15 | 13,8651 | 13,3432 | 12,8493 | 12,3814 | 11,9379 | 11,5174 | 11,1184 | 10,7395 | 10,3797 |
| 16 | 14,7179 | 14,1313 | 13,5777 | 13,0550 | 12,5611 | 12,0941 | 11,6523 | 11,2340 | 10,8378 |
| 17 | 15,5623 | 14,9076 | 14,2919 | 13,7122 | 13,1661 | 12,6513 | 12,1657 | 11,7072 | 11,2741 |
| 18 | 16,3983 | 15,6726 | 14,9920 | 14,3534 | 13,7535 | 13,1897 | 12,6593 | 12,1600 | 11,6896 |
| 19 | 17,2260 | 16,4262 | 15,6785 | 14,9789 | 14,3238 | 13,7098 | 13,1339 | 12,5933 | 12,0853 |
| 20 | 18,0456 | 17,1686 | 16,3514 | 15,5892 | 14,8775 | 14,2124 | 13,5903 | 13,0079 | 12,4622 |
| 21 | 18,8570 | 17,9001 | 17,0112 | 16,1845 | 15,4150 | 14,6980 | 14,0292 | 13,4047 | 12,8212 |
| 22 | 19,6604 | 18,6208 | 17,6580 | 16,7654 | 15,9369 | 15,1671 | 14,4511 | 13,7844 | 13,1630 |
| 23 | 20,4558 | 19,3309 | 18,2922 | 17,3321 | 16,4436 | 15,6204 | 14,8568 | 14,1478 | 13,4886 |
| 24 | 21,2434 | 20,0304 | 18,9139 | 17,8850 | 16,9355 | 16,0584 | 15,2470 | 14,4955 | 13,7986 |
| 25 | 22,0232 | 20,7196 | 19,5235 | 18,4244 | 17,4131 | 16,4815 | 15,6221 | 14,8282 | 14,0939 |
| 26 | 22,7952 | 21,3986 | 20,1210 | 18,9506 | 17,8768 | 16,8904 | 15,9828 | 15,1466 | 14,3752 |
| 27 | 23,5596 | 22,0676 | 20,7069 | 19,4640 | 18,3270 | 17,2854 | 16,3296 | 15,4513 | 14,6430 |
| 28 | 24,3164 | 22,7267 | 21,2813 | 19,9649 | 18,7641 | 17,6670 | 16,6631 | 15,7429 | 14,8981 |
| 29 | 25,0658 | 23,3761 | 21,8444 | 20,4535 | 19,1885 | 18,0358 | 16,9837 | 16,0219 | 15,1411 |
| 30 | 25,8077 | 24,0158 | 22,3965 | 20,9303 | 19,6004 | 18,3920 | 17,2920 | 16,2889 | 15,3725 |
| 31 | 26,5423 | 24,6461 | 22,9377 | 21,3954 | 20,0004 | 18,7363 | 17,5885 | 16,5444 | 15,5928 |
| 32 | 27,2696 | 25,2671 | 23,4683 | 21,8492 | 20,3888 | 19,0689 | 17,8736 | 16,7889 | 15,8027 |
| 33 | 27,9897 | 25,8790 | 23,9886 | 22,2919 | 20,7658 | 19,3902 | 18,1476 | 17,0229 | 16,0025 |
| 34 | 28,7027 | 26,4817 | 24,4986 | 22,7238 | 21,1318 | 19,7007 | 18,4112 | 17,2468 | 16,1929 |
| 35 | 29,4086 | 27,0756 | 24,9986 | 23,1452 | 21,4872 | 20,0007 | 18,6646 | 17,4610 | 16,3742 |
| 36 | 30,1075 | 27,6607 | 25,4888 | 23,5563 | 21,8323 | 20,2905 | 18,9083 | 17,6660 | 16,5469 |
| 37 | 30,7995 | 28,2371 | 25,9695 | 23,9573 | 22,1672 | 20,5705 | 19,1426 | 17,8622 | 16,7113 |
| 38 | 31,4847 | 28,8051 | 26,4406 | 24,3486 | 22,4925 | 20,8411 | 19,3679 | 18,0500 | 16,8679 |
| 39 | 32,1630 | 29,3646 | 26,9026 | 24,7303 | 22,8082 | 21,1025 | 19,5845 | 18,2297 | 17,0170 |
| 40 | 32,8347 | 29,9158 | 27,3555 | 25,1028 | 23,1148 | 21,3551 | 19,7928 | 18,4016 | 17,1591 |
| 41 | 33,4997 | 30,4590 | 27,7995 | 25,4661 | 23,4124 | 21,5991 | 19,9931 | 18,5661 | 17,2944 |
| 42 | 34,1581 | 30,9941 | 28,2348 | 25,8206 | 23,7014 | 21,8349 | 20,1856 | 18,7235 | 17,4232 |
| 43 | 34,8100 | 31,5212 | 28,6616 | 26,1664 | 23,9819 | 22,0627 | 20,3708 | 18,8742 | 17,5459 |
| 44 | 35,4555 | 32,0406 | 29,0800 | 26,5038 | 24,2543 | 22,2828 | 20,5488 | 19,0184 | 17,6628 |
| 45 | 36,0945 | 32,5523 | 29,4902 | 26,8330 | 24,5187 | 22,4955 | 20,7200 | 19,1563 | 17,7741 |
| 46 | 36,7272 | 33,0565 | 29,8923 | 27,1542 | 24,7754 | 22,7009 | 20,8847 | 19,2884 | 17,8801 |
| 47 | 37,3537 | 33,5532 | 30,2866 | 27,4675 | 25,0247 | 22,8994 | 21,0429 | 19,4147 | 17,9810 |
| 48 | 37,9740 | 34,0426 | 30,6731 | 27,7732 | 25,2667 | 23,0912 | 21,1951 | 19,5356 | 18,0772 |
| 49 | 38,5881 | 34,5247 | 31,0521 | 28,0714 | 25,5017 | 23,2766 | 21,3415 | 19,6513 | 18,1687 |
| 50 | 39,1961 | 34,9997 | 31,4236 | 28,3623 | 25,7298 | 23,4556 | 21,4822 | 19,7620 | 18,2559 |
| 51 | 39,7981 | 35,4677 | 31,7878 | 28,6462 | 25,9512 | 23,6286 | 21,6175 | 19,8680 | 18,3390 |
| 52 | 40,3942 | 35,9287 | 32,1449 | 28,9231 | 26,1662 | 23,7958 | 21,7476 | 19,9693 | 18,4181 |
| 53 | 40,9844 | 36,3830 | 32,4950 | 29,1932 | 26,3750 | 23,9573 | 21,8727 | 20,0663 | 18,4934 |
| 54 | 41,5687 | 36,8305 | 32,8383 | 29,4568 | 26,5777 | 24,1133 | 21,9930 | 20,1592 | 18,5651 |
| 55 | 42,1472 | 37,2715 | 33,1748 | 29,7140 | 26,7744 | 24,2641 | 22,1086 | 20,2480 | 18,6335 |
| 56 | 42,7200 | 37,7059 | 33,5047 | 29,9649 | 26,9655 | 24,4097 | 22,2198 | 20,3330 | 18,6985 |
| 57 | 43,2871 | 38,1339 | 33,8281 | 30,2096 | 27,1509 | 24,5504 | 22,3267 | 20,4144 | 18,7605 |
| 58 | 43,8486 | 38,5555 | 34,1452 | 30,4484 | 27,3310 | 24,6864 | 22,4296 | 20,4922 | 18,8195 |
| 59 | 44,4046 | 38,9710 | 34,4561 | 30,6814 | 27,5058 | 24,8178 | 22,5284 | 20,5667 | 18,8758 |
| 60 | 44,9550 | 39,3803 | 34,7609 | 30,9087 | 27,6756 | 24,9447 | 22,6235 | 20,6380 | 18,9293 |
| 61 | 45,5000 | 39,7835 | 35,0597 | 31,1304 | 27,8404 | 25,0674 | 22,7149 | 20,7062 | 18,9803 |
| 62 | 46,0396 | 40,1808 | 35,3526 | 31,3467 | 28,0003 | 25,1859 | 22,8028 | 20,7715 | 19,0288 |
| 63 | 46,5739 | 40,5722 | 35,6398 | 31,5578 | 28,1557 | 25,3004 | 22,8873 | 20,8340 | 19,0751 |
| 64 | 47,1029 | 40,9579 | 35,9214 | 31,7637 | 28,3065 | 25,4110 | 22,9685 | 20,8938 | 19,1191 |
| 65 | 47,6266 | 41,3378 | 36,1975 | 31,9646 | 28,4529 | 25,5178 | 23,0467 | 20,9510 | 19,1611 |
| 66 | 48,1452 | 41,7121 | 36,4681 | 32,1606 | 28,5950 | 25,6211 | 23,1218 | 21,0057 | 19,2010 |
| 67 | 48,6586 | 42,0809 | 36,7334 | 32,3518 | 28,7330 | 25,7209 | 23,1940 | 21,0581 | 19,2391 |
| 68 | 49,1669 | 42,4442 | 36,9936 | 32,5383 | 28,8670 | 25,8173 | 23,2635 | 21,1082 | 19,2753 |
| 69 | 49,6702 | 42,8022 | 37,2486 | 32,7203 | 28,9971 | 25,9104 | 23,3303 | 21,1562 | 19,3098 |
| 70 | 50,1685 | 43,1549 | 37,4986 | 32,8979 | 29,1234 | 26,0004 | 23,3945 | 21,2021 | 19,3427 |
| 71 | 50,6619 | 43,5023 | 37,7437 | 33,0711 | 29,2460 | 26,0873 | 23,4563 | 21,2460 | 19,3740 |
| 72 | 51,1504 | 43,8447 | 37,9841 | 33,2401 | 29,3651 | 26,1713 | 23,5156 | 21,2881 | 19,4038 |
| 73 | 51,6341 | 44,1819 | 38,2197 | 33,4050 | 29,4807 | 26,2525 | 23,5727 | 21,3283 | 19,4322 |
| 74 | 52,1129 | 44,5142 | 38,4507 | 33,5658 | 29,5929 | 26,3309 | 23,6276 | 21,3668 | 19,4592 |
| 75 | 52,5871 | 44,8416 | 38,6771 | 33,7227 | 29,7018 | 26,4067 | 23,6804 | 21,4036 | 19,4850 |
| 76 | 53,0565 | 45,1641 | 38,8991 | 33,8758 | 29,8076 | 26,4799 | 23,7312 | 21,4389 | 19,5095 |
| 77 | 53,5213 | 45,4819 | 39,1168 | 34,0252 | 29,9103 | 26,5506 | 23,7800 | 21,4726 | 19,5329 |
| 78 | 53,9815 | 45,7950 | 39,3302 | 34,1709 | 30,0100 | 26,6190 | 23,8269 | 21,5049 | 19,5551 |
| 79 | 54,4371 | 46,1034 | 39,5394 | 34,3131 | 30,1068 | 26,6850 | 23,8720 | 21,5358 | 19,5763 |
| 80 | 54,8882 | 46,4073 | 39,7445 | 34,4518 | 30,2008 | 26,7488 | 23,9154 | 21,5653 | 19,5965 |
| 81 | 55,3349 | 46,7067 | 39,9456 | 34,5871 | 30,2920 | 26,8104 | 23,9571 | 21,5936 | 19,6157 |
| 82 | 55,7771 | 47,0017 | 40,1427 | 34,7192 | 30,3806 | 26,8700 | 23,9972 | 21,6207 | 19,6340 |
| 83 | 56,2149 | 47,2923 | 40,3360 | 34,8480 | 30,4666 | 26,9275 | 24,0358 | 21,6466 | 19,6514 |
| 84 | 56,6485 | 47,5786 | 40,5255 | 34,9736 | 30,5501 | 26,9831 | 24,0729 | 21,6714 | 19,6680 |
| 85 | 57,0777 | 47,8607 | 40,7113 | 35,0962 | 30,6312 | 27,0368 | 24,1085 | 21,6951 | 19,6838 |
| 86 | 57,5026 | 48,1386 | 40,8934 | 35,2158 | 30,7099 | 27,0887 | 24,1428 | 21,7178 | 19,6989 |
| 87 | 57,9234 | 48,4125 | 41,0720 | 35,3325 | 30,7863 | 27,1388 | 24,1758 | 21,7395 | 19,7132 |
| 88 | 58,3400 | 48,6822 | 41,2470 | 35,4463 | 30,8605 | 27,1873 | 24,2075 | 21,7603 | 19,7269 |
| 89 | 58,7525 | 48,9480 | 41,4187 | 35,5574 | 30,9325 | 27,2341 | 24,2380 | 21,7802 | 19,7399 |
| 90 | 59,1609 | 49,2099 | 41,5869 | 35,6658 | 31,0024 | 27,2793 | 24,2673 | 21,7992 | 19,7523 |
| 91 | 59,5652 | 49,4678 | 41,7519 | 35,7715 | 31,0703 | 27,3230 | 24,2955 | 21,8175 | 19,7641 |
| 92 | 59,9656 | 49,7220 | 41,9136 | 35,8746 | 31,1362 | 27,3652 | 24,3226 | 21,8349 | 19,7753 |
| 93 | 60,3620 | 49,9724 | 42,0722 | 35,9752 | 31,2002 | 27,4060 | 24,3486 | 21,8516 | 19,7860 |
| 94 | 60,7544 | 50,2191 | 42,2276 | 36,0734 | 31,2623 | 27,4454 | 24,3737 | 21,8675 | 19,7962 |
| 95 | 61,1430 | 50,4622 | 42,3800 | 36,1692 | 31,3227 | 27,4835 | 24,3978 | 21,8828 | 19,8059 |
| 96 | 61,5277 | 50,7017 | 42,5294 | 36,2626 | 31,3812 | 27,5203 | 24,4209 | 21,8974 | 19,8151 |
| 97 | 61,9086 | 50,9376 | 42,6759 | 36,3538 | 31,4381 | 27,5558 | 24,4432 | 21,9114 | 19,8239 |
| 98 | 62,2858 | 51,1701 | 42,8195 | 36,4427 | 31,4933 | 27,5902 | 24,4646 | 21,9248 | 19,8323 |
| 99 | 62,6592 | 51,3991 | 42,9603 | 36,5295 | 31,5469 | 27,6234 | 24,4852 | 21,9376 | 19,8403 |
| 100 | 63,0289 | 51,6247 | 43,0984 | 36,6141 | 31,5989 | 27,6554 | 24,5050 | 21,9499 | 19,8479 |
| Restnut- zungsdauer; Restlaufzeit des Erbbaurechts bzw. des Nut- zungsrechts (in Jahren) | Zinssatz | |||||||||
| 5,5 % | 6,0 % | 6,5 % | 7,0 % | 7,5 % | 8,0 % | 8,5 % | 9,0 % | 9,5 % | 10 % | |
| 1 | 0,9479 | 0,9434 | 0,9390 | 0,9346 | 0,9302 | 0,9259 | 0,9217 | 0,9174 | 0,9132 | 0,9091 |
| 2 | 1,8463 | 1,8334 | 1,8206 | 1,8080 | 1,7956 | 1,7833 | 1,7711 | 1,7591 | 1,7473 | 1,7355 |
| 3 | 2,6979 | 2,6730 | 2,6485 | 2,6243 | 2,6005 | 2,5771 | 2,5540 | 2,5313 | 2,5089 | 2,4869 |
| 4 | 3,5052 | 3,4651 | 3,4258 | 3,3872 | 3,3493 | 3,3121 | 3,2756 | 3,2397 | 3,2045 | 3,1699 |
| 5 | 4,2703 | 4,2124 | 4,1557 | 4,1002 | 4,0459 | 3,9927 | 3,9406 | 3,8897 | 3,8397 | 3,7908 |
| 6 | 4,9955 | 4,9173 | 4,8410 | 4,7665 | 4,6938 | 4,6229 | 4,5536 | 4,4859 | 4,4198 | 4,3553 |
| 7 | 5,6830 | 5,5824 | 5,4845 | 5,3893 | 5,2966 | 5,2064 | 5,1185 | 5,0330 | 4,9496 | 4,8684 |
| 8 | 6,3346 | 6,2098 | 6,0888 | 5,9713 | 5,8573 | 5,7466 | 5,6392 | 5,5348 | 5,4334 | 5,3349 |
| 9 | 6,9522 | 6,8017 | 6,6561 | 6,5152 | 6,3789 | 6,2469 | 6,1191 | 5,9952 | 5,8753 | 5,7590 |
| 10 | 7,5376 | 7,3601 | 7,1888 | 7,0236 | 6,8641 | 6,7101 | 6,5613 | 6,4177 | 6,2788 | 6,1446 |
| 11 | 8,0925 | 7,8869 | 7,6890 | 7,4987 | 7,3154 | 7,1390 | 6,9690 | 6,8052 | 6,6473 | 6,4951 |
| 12 | 8,6185 | 8,3838 | 8,1587 | 7,9427 | 7,7353 | 7,5361 | 7,3447 | 7,1607 | 6,9838 | 6,8137 |
| 13 | 9,1171 | 8,8527 | 8,5997 | 8,3577 | 8,1258 | 7,9038 | 7,6910 | 7,4869 | 7,2912 | 7,1034 |
| 14 | 9,5896 | 9,2950 | 9,0138 | 8,7455 | 8,4892 | 8,2442 | 8,0101 | 7,7862 | 7,5719 | 7,3667 |
| 15 | 10,0376 | 9,7122 | 9,4027 | 9,1079 | 8,8271 | 8,5595 | 8,3042 | 8,0607 | 7,8282 | 7,6061 |
| 16 | 10,4622 | 10,1059 | 9,7678 | 9,4466 | 9,1415 | 8,8514 | 8,5753 | 8,3126 | 8,0623 | 7,8237 |
| 17 | 10,8646 | 10,4773 | 10,1106 | 9,7632 | 9,4340 | 9,1216 | 8,8252 | 8,5436 | 8,2760 | 8,0216 |
| 18 | 11,2461 | 10,8276 | 10,4325 | 10,0591 | 9,7060 | 9,3719 | 9,0555 | 8,7556 | 8,4713 | 8,2014 |
| 19 | 11,6077 | 11,1581 | 10,7347 | 10,3356 | 9,9591 | 9,6036 | 9,2677 | 8,9501 | 8,6496 | 8,3649 |
| 20 | 11,9504 | 11,4699 | 11,0185 | 10,5940 | 10,1945 | 9,8181 | 9,4633 | 9,1285 | 8,8124 | 8,5136 |
| 21 | 12,2752 | 11,7641 | 11,2850 | 10,8355 | 10,4135 | 10,0168 | 9,6436 | 9,2922 | 8,9611 | 8,6487 |
| 22 | 12,5832 | 12,0416 | 11,5352 | 11,0612 | 10,6172 | 10,2007 | 9,8098 | 9,4424 | 9,0969 | 8,7715 |
| 23 | 12,8750 | 12,3034 | 11,7701 | 11,2722 | 10,8067 | 10,3711 | 9,9629 | 9,5802 | 9,2209 | 8,8832 |
| 24 | 13,1517 | 12,5504 | 11,9907 | 11,4693 | 10,9830 | 10,5288 | 10,1041 | 9,7066 | 9,3341 | 8,9847 |
| 25 | 13,4139 | 12,7834 | 12,1979 | 11,6536 | 11,1469 | 10,6748 | 10,2342 | 9,8226 | 9,4376 | 9,0770 |
| 26 | 13,6625 | 13,0032 | 12,3924 | 11,8258 | 11,2995 | 10,8100 | 10,3541 | 9,9290 | 9,5320 | 9,1609 |
| 27 | 13,8981 | 13,2105 | 12,5750 | 11,9867 | 11,4414 | 10,9352 | 10,4646 | 10,0266 | 9,6183 | 9,2372 |
| 28 | 14,1214 | 13,4062 | 12,7465 | 12,1371 | 11,5734 | 11,0511 | 10,5665 | 10,1161 | 9,6971 | 9,3066 |
| 29 | 14,3331 | 13,5907 | 12,9075 | 12,2777 | 11,6962 | 11,1584 | 10,6603 | 10,1983 | 9,7690 | 9,3696 |
| 30 | 14,5337 | 13,7648 | 13,0587 | 12,4090 | 11,8104 | 11,2578 | 10,7468 | 10,2737 | 9,8347 | 9,4269 |
| 31 | 14,7239 | 13,9291 | 13,2006 | 12,5318 | 11,9166 | 11,3498 | 10,8266 | 10,3428 | 9,8947 | 9,4790 |
| 32 | 14,9042 | 14,0840 | 13,3339 | 12,6466 | 12,0155 | 11,4350 | 10,9001 | 10,4062 | 9,9495 | 9,5264 |
| 33 | 15,0751 | 14,2302 | 13,4591 | 12,7538 | 12,1074 | 11,5139 | 10,9678 | 10,4644 | 9,9996 | 9,5694 |
| 34 | 15,2370 | 14,3681 | 13,5766 | 12,8540 | 12,1929 | 11,5869 | 11,0302 | 10,5178 | 10,0453 | 9,6086 |
| 35 | 15,3906 | 14,4982 | 13,6870 | 12,9477 | 12,2725 | 11,6546 | 11,0878 | 10,5668 | 10,0870 | 9,6442 |
| 36 | 15,5361 | 14,6210 | 13,7906 | 13,0352 | 12,3465 | 11,7172 | 11,1408 | 10,6118 | 10,1251 | 9,6765 |
| 37 | 15,6740 | 14,7368 | 13,8879 | 13,1170 | 12,4154 | 11,7752 | 11,1897 | 10,6530 | 10,1599 | 9,7059 |
| 38 | 15,8047 | 14,8460 | 13,9792 | 13,1935 | 12,4794 | 11,8289 | 11,2347 | 10,6908 | 10,1917 | 9,7327 |
| 39 | 15,9287 | 14,9491 | 14,0650 | 13,2649 | 12,5390 | 11,8786 | 11,2763 | 10,7255 | 10,2207 | 9,7570 |
| 40 | 16,0461 | 15,0463 | 14,1455 | 13,3317 | 12,5944 | 11,9246 | 11,3145 | 10,7574 | 10,2472 | 9,7791 |
| 41 | 16,1575 | 15,1380 | 14,2212 | 13,3941 | 12,6460 | 11,9672 | 11,3498 | 10,7866 | 10,2715 | 9,7991 |
| 42 | 16,2630 | 15,2245 | 14,2922 | 13,4524 | 12,6939 | 12,0067 | 11,3823 | 10,8134 | 10,2936 | 9,8174 |
| 43 | 16,3630 | 15,3062 | 14,3588 | 13,5070 | 12,7385 | 12,0432 | 11,4123 | 10,8380 | 10,3138 | 9,8340 |
| 44 | 16,4579 | 15,3832 | 14,4214 | 13,5579 | 12,7800 | 12,0771 | 11,4399 | 10,8605 | 10,3322 | 9,8491 |
| 45 | 16,5477 | 15,4558 | 14,4802 | 13,6055 | 12,8186 | 12,1084 | 11,4653 | 10,8812 | 10,3490 | 9,8628 |
| 46 | 16,6329 | 15,5244 | 14,5354 | 13,6500 | 12,8545 | 12,1374 | 11,4888 | 10,9002 | 10,3644 | 9,8753 |
| 47 | 16,7137 | 15,5890 | 14,5873 | 13,6916 | 12,8879 | 12,1643 | 11,5104 | 10,9176 | 10,3785 | 9,8866 |
| 48 | 16,7902 | 15,6500 | 14,6359 | 13,7305 | 12,9190 | 12,1891 | 11,5303 | 10,9336 | 10,3913 | 9,8969 |
| 49 | 16,8628 | 15,7076 | 14,6816 | 13,7668 | 12,9479 | 12,2122 | 11,5487 | 10,9482 | 10,4030 | 9,9063 |
| 50 | 16,9315 | 15,7619 | 14,7245 | 13,8007 | 12,9748 | 12,2335 | 11,5656 | 10,9617 | 10,4137 | 9,9148 |
| 51 | 16,9967 | 15,8131 | 14,7648 | 13,8325 | 12,9998 | 12,2532 | 11,5812 | 10,9740 | 10,4235 | 9,9226 |
| 52 | 17,0585 | 15,8614 | 14,8026 | 13,8621 | 13,0231 | 12,2715 | 11,5956 | 10,9853 | 10,4324 | 9,9296 |
| 53 | 17,1170 | 15,9070 | 14,8382 | 13,8898 | 13,0447 | 12,2884 | 11,6088 | 10,9957 | 10,4405 | 9,9360 |
| 54 | 17,1726 | 15,9500 | 14,8715 | 13,9157 | 13,0649 | 12,3041 | 11,6210 | 11,0053 | 10,4480 | 9,9418 |
| 55 | 17,2252 | 15,9905 | 14,9028 | 13,9399 | 13,0836 | 12,3186 | 11,6323 | 11,0140 | 10,4548 | 9,9471 |
| 56 | 17,2750 | 16,0288 | 14,9322 | 13,9626 | 13,1010 | 12,3321 | 11,6427 | 11,0220 | 10,4610 | 9,9519 |
| 57 | 17,3223 | 16,0649 | 14,9598 | 13,9837 | 13,1172 | 12,3445 | 11,6522 | 11,0294 | 10,4667 | 9,9563 |
| 58 | 17,3671 | 16,0990 | 14,9858 | 14,0035 | 13,1323 | 12,3560 | 11,6610 | 11,0361 | 10,4718 | 9,9603 |
| 59 | 17,4096 | 16,1311 | 15,0101 | 14,0219 | 13,1463 | 12,3667 | 11,6692 | 11,0423 | 10,4766 | 9,9639 |
| 60 | 17,4499 | 16,1614 | 15,0330 | 14,0392 | 13,1594 | 12,3766 | 11,6766 | 11,0480 | 10,4809 | 9,9672 |
| 61 | 17,4880 | 16,1900 | 15,0544 | 14,0553 | 13,1715 | 12,3857 | 11,6835 | 11,0532 | 10,4848 | 9,9701 |
| 62 | 17,5242 | 16,2170 | 15,0746 | 14,0704 | 13,1828 | 12,3942 | 11,6899 | 11,0580 | 10,4884 | 9,9729 |
| 63 | 17,5585 | 16,2425 | 15,0935 | 14,0845 | 13,1933 | 12,4020 | 11,6958 | 11,0624 | 10,4917 | 9,9753 |
| 64 | 17,5910 | 16,2665 | 15,1113 | 14,0976 | 13,2031 | 12,4093 | 11,7012 | 11,0664 | 10,4947 | 9,9776 |
| 65 | 17,6218 | 16,2891 | 15,1280 | 14,1099 | 13,2122 | 12,4160 | 11,7061 | 11,0701 | 10,4975 | 9,9796 |
| 66 | 17,6510 | 16,3105 | 15,1436 | 14,1214 | 13,2206 | 12,4222 | 11,7107 | 11,0735 | 10,5000 | 9,9815 |
| 67 | 17,6786 | 16,3307 | 15,1583 | 14,1322 | 13,2285 | 12,4280 | 11,7150 | 11,0766 | 10,5022 | 9,9831 |
| 68 | 17,7049 | 16,3497 | 15,1721 | 14,1422 | 13,2358 | 12,4333 | 11,7189 | 11,0794 | 10,5043 | 9,9847 |
| 69 | 17,7297 | 16,3676 | 15,1851 | 14,1516 | 13,2426 | 12,4382 | 11,7224 | 11,0820 | 10,5062 | 9,9861 |
| 70 | 17,7533 | 16,3845 | 15,1973 | 14,1604 | 13,2489 | 12,4428 | 11,7258 | 11,0844 | 10,5080 | 9,9873 |
| 71 | 17,7756 | 16,4005 | 15,2087 | 14,1686 | 13,2548 | 12,4471 | 11,7288 | 11,0867 | 10,5096 | 9,9885 |
| 72 | 17,7968 | 16,4156 | 15,2195 | 14,1763 | 13,2603 | 12,4510 | 11,7316 | 11,0887 | 10,5110 | 9,9895 |
| 73 | 17,8169 | 16,4298 | 15,2295 | 14,1834 | 13,2654 | 12,4546 | 11,7342 | 11,0905 | 10,5124 | 9,9905 |
| 74 | 17,8359 | 16,4432 | 15,2390 | 14,1901 | 13,2701 | 12,4580 | 11,7366 | 11,0922 | 10,5136 | 9,9914 |
| 75 | 17,8539 | 16,4558 | 15,2479 | 14,1964 | 13,2745 | 12,4611 | 11,7388 | 11,0938 | 10,5147 | 9,9921 |
| 76 | 17,8710 | 16,4678 | 15,2562 | 14,2022 | 13,2786 | 12,4640 | 11,7408 | 11,0952 | 10,5157 | 9,9929 |
| 77 | 17,8872 | 16,4790 | 15,2641 | 14,2077 | 13,2825 | 12,4666 | 11,7427 | 11,0965 | 10,5166 | 9,9935 |
| 78 | 17,9026 | 16,4897 | 15,2714 | 14,2128 | 13,2860 | 12,4691 | 11,7444 | 11,0977 | 10,5174 | 9,9941 |
| 79 | 17,9172 | 16,4997 | 15,2783 | 14,2175 | 13,2893 | 12,4714 | 11,7460 | 11,0988 | 10,5182 | 9,9946 |
| 80 | 17,9310 | 16,5091 | 15,2848 | 14,2220 | 13,2924 | 12,4735 | 11,7475 | 11,0998 | 10,5189 | 9,9951 |
| 81 | 17,9440 | 16,5180 | 15,2909 | 14,2262 | 13,2952 | 12,4755 | 11,7488 | 11,1008 | 10,5196 | 9,9956 |
| 82 | 17,9564 | 16,5265 | 15,2966 | 14,2301 | 13,2979 | 12,4773 | 11,7501 | 11,1016 | 10,5201 | 9,9960 |
| 83 | 17,9682 | 16,5344 | 15,3020 | 14,2337 | 13,3004 | 12,4790 | 11,7512 | 11,1024 | 10,5207 | 9,9963 |
| 84 | 17,9793 | 16,5419 | 15,3070 | 14,2371 | 13,3027 | 12,4805 | 11,7523 | 11,1031 | 10,5212 | 9,9967 |
| 85 | 17,9899 | 16,5489 | 15,3118 | 14,2403 | 13,3048 | 12,4820 | 11,7532 | 11,1038 | 10,5216 | 9,9970 |
| 86 | 17,9999 | 16,5556 | 15,3162 | 14,2433 | 13,3068 | 12,4833 | 11,7541 | 11,1044 | 10,5220 | 9,9972 |
| 87 | 18,0094 | 16,5619 | 15,3204 | 14,2460 | 13,3087 | 12,4845 | 11,7550 | 11,1050 | 10,5224 | 9,9975 |
| 88 | 18,0184 | 16,5678 | 15,3243 | 14,2486 | 13,3104 | 12,4857 | 11,7557 | 11,1055 | 10,5227 | 9,9977 |
| 89 | 18,0269 | 16,5734 | 15,3280 | 14,2511 | 13,3120 | 12,4868 | 11,7564 | 11,1059 | 10,5230 | 9,9979 |
| 90 | 18,0350 | 16,5787 | 15,3315 | 14,2533 | 13,3135 | 12,4877 | 11,7571 | 11,1064 | 10,5233 | 9,9981 |
| 91 | 18,0426 | 16,5837 | 15,3347 | 14,2554 | 13,3149 | 12,4886 | 11,7577 | 11,1067 | 10,5236 | 9,9983 |
| 92 | 18,0499 | 16,5884 | 15,3377 | 14,2574 | 13,3161 | 12,4895 | 11,7582 | 11,1071 | 10,5238 | 9,9984 |
| 93 | 18,0567 | 16,5928 | 15,3406 | 14,2593 | 13,3173 | 12,4903 | 11,7587 | 11,1074 | 10,5240 | 9,9986 |
| 94 | 18,0633 | 16,5970 | 15,3433 | 14,2610 | 13,3185 | 12,4910 | 11,7592 | 11,1077 | 10,5242 | 9,9987 |
| 95 | 18,0694 | 16,6009 | 15,3458 | 14,2626 | 13,3195 | 12,4917 | 11,7596 | 11,1080 | 10,5244 | 9,9988 |
| 96 | 18,0753 | 16,6047 | 15,3482 | 14,2641 | 13,3205 | 12,4923 | 11,7600 | 11,1083 | 10,5246 | 9,9989 |
| 97 | 18,0809 | 16,6082 | 15,3504 | 14,2655 | 13,3214 | 12,4928 | 11,7604 | 11,1085 | 10,5247 | 9,9990 |
| 98 | 18,0861 | 16,6115 | 15,3525 | 14,2669 | 13,3222 | 12,4934 | 11,7607 | 11,1087 | 10,5249 | 9,9991 |
| 99 | 18,0911 | 16,6146 | 15,3545 | 14,2681 | 13,3230 | 12,4939 | 11,7610 | 11,1089 | 10,5250 | 9,9992 |
| 100 | 18,0958 | 16,6175 | 15,3563 | 14,2693 | 13,3237 | 12,4943 | 11,7613 | 11,1091 | 10,5251 | 9,9993 |
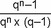
Berechnungsformel für die der Tabelle nicht zu entnehmenden Vervielfältiger (Barwertfaktoren für die Kapitalisierung):
Vervielfältiger =

q = 1 + Zinssatz, wobei Zinssatz =

p = Zinsfuß
n = Restnutzungsdauer / Restlaufzeit
Das jeweilige Berechnungsergebnis ist kaufmännisch auf vier Nachkommastellen zu runden.
- Hier liegen deine Schemata und Notizen
- Erstelle ein neues Schema oder eine neue Notiz über die Symbolleiste über dem Gesetzestext.
- Öffne ein bestehendes Schema oder eine Notiz in der rechten Spalte oder direkt im Text.
Schemata
zu Steuerrecht & Steuerverfahrensrecht
Notizen
zu Anlage 21 BewG
Keine Notizen vorhanden.